您的當前位置:首頁 > 產品知識 > 更多產品知識 > 鋼球直徑的半理論公式推導——鋼球直徑的半理論公式與經驗修正
作者:紅星機器 發布時間:2017-09-08 16:43:09
公式(5-27)是粒度為d的礦塊抵抗破壞的能量,公式(5-34)則是直徑為Db的鋼球打擊礦塊時所具有的動能。從巖礦的破碎原理分析,當球的打擊能量大于礦塊抵抗破壞的能量時,即En≥E抗時,礦塊發生破碎,也即是:
![]()
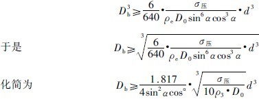
對上式整理,找出目標函數Db(cm)與其它參數之間的數學關系為:

 由鋼球運動理論可知,若
,式(5-35)經進一步簡化,得:
![]()
公式(5-36)是鋼球作拋落運動時導出的,球作瀉落式運動時力學還無法計算。瀉落式時球上升高度不高,用式(5-36)算出的結果還應適當加大。加之,前面推導公式時并未考慮鋼球的切向速度V1,的破碎作用。如果把V1的作用考慮在內,上式計算的球徑應考慮加大15%。這里按極限狀態考慮,式(5-36)變為:
這個公式是在破碎力學原理的基礎上用系統而嚴密的戴維斯和列文松鋼球運動理
論推導出來的,它反映了鋼球直徑與磨機轉速率鋼球有效密度、磨機直徑D( D0與D直接有關、D0還與裝球率有關)、巖礦抗$壓極限強度壓和給礦粒度d之間的關系。是目前所見球徑公式中考慮因素較多的公式之一。從公式中可以看出,給礦粒度"大和巖礦抗壓極限強度大時需要大的球徑;磨機直徑D小時也需要大的球徑;鋼球有效密度"!小時(即礦漿太濃,浮力過大,對球的緩沖作用大)也需要大的球徑,故該公式反映了鋼球破碎過程中的客觀規律。而轉速率對鋼球直徑的影響較復雜,難于直接看出,計算后才能看出。但當磨機轉速率為100%時,公式算出Db——∞,表示此時鋼球直徑無意義,因為此時球已離心化而無破碎作用存在了。

此公式的結構框架是直接由理論推導出來的,但其中包括巖礦的抗壓極限強度p壓,e壓不能由理論計算出來,只能借助實際工程測量得到,而且,在考慮瀉落式運動時球徑已作了經驗性放大,因此,此公式只能算為半理論公式。此公式若要實際運用,還應對推導未考慮或假定中不符合實際的地方進行一些修正。
公式(5-37)在推導中抓住了幾個主要因素,但也有一些因素未考慮。另外,為了推導公式方便而假定巖礦的力學性質是均勻的,但實際上巖礦的力學性質極不均勻。而且這些因素對球徑的影響是很大的,只是它們難于定量地進入公式。如不考慮這些因素的影響,公式(5-37)也將產生大的誤差,甚至使公式無使用價值。事實上,以前各國學者提出的各個球徑公式中也均帶有經驗修正系數。對于這類復雜的工程技術問題,不經過經驗修正的純理論公式是沒有實用價值的,因為簡單的數學式子不可能把磨礦過程的影響因素都包括進去的。
現對公式(5-37)進行如下三個方面的修正:
(1)巖石力學性質的不均勻性修正。粗礦塊內部宏觀和微觀裂紋多,故強度低。而當礦塊變細后各種裂紋逐漸消失,強度逐漸增大。原蘇聯學者曾對不同粒度的礦塊作過破壞強度測定研究,測定資料見表(3-5-3)。但當礦粒度小于1mm時尚未見到測定資料。芬蘭胡基教授曾作過不同粒度下的磨碎功耗測定,結果說明粒度變細與功耗的增加不是直線的比例關系。而呈類似冪函數的曲線關系增長,表明細磨時功耗增加比粒度變小快得多。參照胡基的研究和筆者進行的細磨研究,在表3-5-4, 中補充了1mm以下的破壞力數值和修正系數。

國外學者從F.C.榜德理論推導出球磨機的給礦粒度為1/2in(即12.7mm)時碎磨的能耗低。按歐美技術習慣,80% 過篩粒度為12.7mm時,相當于95% 過篩粒度的15mm。由于公式推導是在理想情況下進行的,可以認為求出合理的球徑是在能耗低的情況下得到的。故以15mm為基準,小于15mm時礦塊力學強度增大,大于15mm時礦塊力學強度降低。若以K1表示巖礦力學性質不均勻的修正系數,并以15mm為基準,定為1,則粒度大于15mm者K1小于1,小于15mm者K1大于1,按各粒級破壞力計算出K1分別列入表3-5-4中。

(2)磨礦過程有效控制修正。磨礦過程中,粗磨和細磨的情況差異較大。粗磨時鋼球既容易打著礦粒,球荷之間也容易嚙住礦粒進行研磨,故磨碎的概率高,磨礦作用效率高,能量浪費小,即磨礦過程易于有效控制。細磨過程卻不然,鋼球打擊礦粒和球荷間嚙住礦粒均比較困難,磨碎的概率低,磨礦過程不太好控制,磨碎作用效率低,能量浪費大。
 仍以能量消耗低的15mm為基準,并以K2表示磨礦過程控制修正系數,大于15mm者K2<1,小于15mm者K2>1。由于目前還無法在此方面提出定量的修正依據,只有假設K2的影響與K1等同。

(3)礦漿粘度等因素的影響修正。粗磨時一定的礦漿粘度對磨礦是有利的,礦粒易粘附在鋼球和襯板上形成一層礦粒層,當鋼球與鋼球或與襯板相碰撞時就能首先破碎礦粒,磨碎過程有效,能耗也就較低。細磨時粘度大則會產生有害影響,使能耗增大。如以K3表示這方面的影響修正,但目前也難提出定量修正依據,仍仿K2的處理辦法,假定同一粒度下K3的影響同K1。
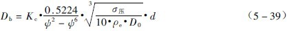
于是,設綜合經驗修正系數為Kc,按前面的假設得:
K2和K3的假設是否合理,應以結果是否符合實際來進行檢驗。
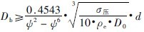
這樣,球徑半理論公式經修正后Db(cm)成為:
  ![]()
公式(5-39)即為推導出的球徑半理論公式。式中的綜合修正系數Kc可按表3-5-5中數據選取。
  ![]()
  
              
這樣,在實際給定的磨機工作條件下就可以按公式(5-39)計算所需要的鋼球直徑。公式計算時采用cm.g.s制量綱。
  
如果您想了解我們的產品,可以隨時撥打我公司的銷售熱線或點擊咨詢!![]()
推薦閱讀
TOP169鄂破機價格及型號參數鄂破機
TOP257鄂破機一小時能產多少噸物料鄂破機
TOP3時產1000噸石料生產線設備有哪些?多少錢?石料生產線價格
TOP4140圓錐破時產多少石子圓錐破 圓錐破碎機
TOP5小型碎沙機多少錢一臺?碎石機
TOP6一套碎石機大概需要多少錢碎石機
TOP7生產雷蒙磨粉機(雷蒙磨)的廠家磨粉機
TOP8每小時產200噸的石子破碎機多少錢一臺?破碎機
TOP969破碎機一小時處理多少立方石子?破碎機 69顎式破碎機
TOP101060顎破型號有哪些?什么價?顎破 顎式破碎機
TOP11時產500噸石子生產線配置方案_廠家報價生產線
TOP12銷量較好的雷蒙磨粉機型號有哪些雷蒙磨粉機
換一換 ![]()
想讓資深工程師為您設計生產方案?想獲取全套設備優惠報價單?請留言,專業經理即刻開始為您一對一服務!(不用擔心信息泄露,我們將為客戶提供信息保密服務!)
來廠考察即可獲取資深工程師為您設計方案
多機型現貨可選,簽訂合同,2天內發出
售后團隊親臨現場,指導設備安裝、試車,完成交付
跟蹤砂場運營情況,提供生產運營指導,保障砂場快速盈利
由巖礦塊破碎所需要的破壞力來選擇鋼球尺寸在理論上是可行的,而且是科學的。下面詳細介紹如何根據巖礦抗破壞性能來選擇鋼球尺寸...
201010.11
查看詳情鋼球直徑的半理論公式推導——礦塊或礦粒的抗破壞能量E的推導過程。...
201010.11
查看詳情鋼球直徑的半理論公式推導——鋼球的打擊動能En的推導過程。...
201010.11
查看詳情河南紅星礦山機器有限公司 總部地址:中國鄭州高新技術產業開發區檀香路8號
工程師免費設計方案已有162位獲得心儀的方案
算一算 搭配一條合適的生產線需要多少錢?
點擊獲取報價