您的當前位置:首頁 > 產品知識 > 更多產品知識 > 顎式破碎機肘板應力的測定及分析
作者:紅星機器 發布時間:2017-09-20 15:16:27
肘板是顎式破碎機的關鍵易磨部件,其應力大小是一個重要的參數,準確判斷肘板的應力,有利于設計顎式破碎機的肘板,從而延長肘板的使用壽命。下文介紹肘板應力的測定及分析。

為了測定肘板的壓應力,在肘板的較小截面處布置2~3組測點,如下圖1所示。每組中的a、b兩枚電阻片串聯,以測定壓應力并消除彎曲應力,各組并接以求出該截面應力的平均值,并與數量級接線方式相同的溫度補償片組成半橋。

準備若干個結構形狀完全相同僅截面積不同的肘板進行破碎作業和過鐵試驗。若各肘板功能在破碎作業中正常工作而在過鐵試驗中斷裂,則選擇其中截面較大者作為應力測定試樣。由于肘板在顎式破碎機中為保護件,因此要求在破碎作業中能安全可靠工作,而在非正常工作中,發生斷裂以保護其他重要零部件不致損壞。因此,在破碎機各零部件中,肘板應具有更高的應力水平,這也是衡量破碎機結構設計是否合理的依據。
設計中肘板截面尺寸的確定比較困難,解密那尺寸過大,當破碎機嚴重超載時,肘板不大生斷裂而損壞其他重要零部件;截面尺寸過小時,破碎機正常作業時肘板經常發生斷裂而影響生產。因此通過肘板應力的測定應為其設計提供依據。
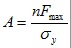
 肘板應力可按下式計算:
…………①。
 安全系數n按下式計算:
…………②。
 由此可得肘板的更小截面積為:
…………③,式中Fmax是肘板上的較大壓力;σy是肘板材料的抗壓強度;A是肘板較小截面積;n是由測定確定的能保證破碎機正常作業而在非正常作業時能使肘板斷裂的安全系數,n=4.5~5.5。
用戶在作業中如想對顎式破碎機有更詳細的了解,可點擊:“專家咨詢”,或撥打公司的免費咨詢電話:0371—67772626。
本篇內容于 2017-09-20 15:16:27 已補充更新如果您想了解我們的產品,可以隨時撥打我公司的銷售熱線或點擊咨詢!![]()
相關設備
推薦閱讀
TOP169鄂破機價格及型號參數鄂破機
TOP257鄂破機一小時能產多少噸物料鄂破機
TOP3時產1000噸石料生產線設備有哪些?多少錢?石料生產線價格
TOP4140圓錐破時產多少石子圓錐破 圓錐破碎機
TOP5小型碎沙機多少錢一臺?碎石機
TOP6一套碎石機大概需要多少錢碎石機
TOP7生產雷蒙磨粉機(雷蒙磨)的廠家磨粉機
TOP8每小時產200噸的石子破碎機多少錢一臺?破碎機
TOP969破碎機一小時處理多少立方石子?破碎機 69顎式破碎機
TOP101060顎破型號有哪些?什么價?顎破 顎式破碎機
TOP11時產500噸石子生產線配置方案_廠家報價生產線
TOP12銷量較好的雷蒙磨粉機型號有哪些雷蒙磨粉機
換一換 ![]()
想讓資深工程師為您設計生產方案?想獲取全套設備優惠報價單?請留言,專業經理即刻開始為您一對一服務?。ú挥脫男畔⑿孤?,我們將為客戶提供信息保密服務?。?/p>
來廠考察即可獲取資深工程師為您設計方案
多機型現貨可選,簽訂合同,2天內發出
售后團隊親臨現場,指導設備安裝、試車,完成交付
跟蹤砂場運營情況,提供生產運營指導,保障砂場快速盈利
顎式破碎機是石子生產線一段破碎環節,其生產能力直接影響后續整條生產線的產量,顎式破碎機產能不夠高怎么辦?小編分享5種提產...
202106.03
查看詳情花崗巖比較常見的一種巖石,也是制砂行業常用的制砂原料之一,花崗石構造緊密、石英含量多、抗壓強度高、耐久性強且非常堅硬,是...
202009.01
查看詳情顎式破碎機設備價格多少? 顎式破碎機設備的設備分類、型號多達上百種,不同型號的機器對應的設備耗材、技術有差異,所以廠家們...
202005.09
查看詳情顎式破碎機作為目前市場上比較常見的破碎設備,它的設備較簡單,產量較大,破碎比較大,不管物料的硬度多大,都可以有效的進行破...
202004.28
查看詳情紅星時產500噸煤炭鄂破型號有HX1349HD110、HX1349HD125、PE-1000×1200等,固定鄂破市場售...
201908.20
查看詳情PE200x300顎式破碎機一款小型的石料粗碎機,占地面積小、移動安裝維護更省時、省力,在小型企業中很受歡迎。因生產需要...
201812.14
查看詳情河南紅星礦山機器有限公司 總部地址:中國鄭州高新技術產業開發區檀香路8號
工程師免費設計方案已有162位獲得心儀的方案
算一算 搭配一條合適的生產線需要多少錢?
點擊獲取報價